放物型偏微分方程式(ほうぶつがたへんびぶんほうていしき、英: parabolic partial differential equation)とは、二階の偏微分方程式(PDE)の一種で、熱拡散や海洋音波伝播などを含む様々な科学の問題に現れるものである。
次の形式で記述される偏微分方程式
は、次の条件を満たすとき放物型であると言われる:
この定義は、平面の放物線の定義と似たものである。
放物型偏微分方程式の簡単な例として、一次元の熱方程式
が挙げられる。ここで、 は時間 における位置 の温度を表し、 は定数とする。 は、時間変数 に関する の偏微分を表し、 は同様に空間変数 に関する の二階の偏微分を表す。
この方程式は、大雑把に言うと、ある与えられた点のある時間における温度は、その点の温度と、その周辺の点の温度の平均の差に比例して、上昇あるいは低下する、ということを意味している。 は、調和関数の平均値の性質を満たす状態から、どのくらい温度が離れているか、ということを示す量となっている。
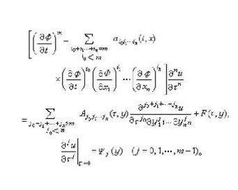
熱方程式の一般化は、次のように表される:
ここで は二階の楕円型作用素である( はまた正作用素でなければならない。非正であるような場合については、下で述べられている)。このような系は、次の形式で表される方程式の中に含まれている:
ただし、行列値関数 の核は次元 1 であるとする。
解
仮定の下で、上述の放物型偏微分方程式には、すべての x,y および t>0 に対して解が存在する。 の形で記述される方程式が放物型であるとは、L が u およびその一階・二階の微分の(非線型でもあり得る)関数であり、さらにいくつかの追加条件が課されている時を言う。そのような非線型の放物型方程式には、短い時間に対しては解が存在するが、ある有限時間後に生じる特異点において解の爆発が起こる可能性がある。したがって、解がすべての時間に対して存在するか、または、特異点がどのように現れるかなどのより一般的な研究を行う際に、困難が生じる。これは一般的に確かに困難な問題で、たとえばリッチ・フローによるポアンカレ予想の解を参照されたい。
後退放物型方程式
の形を取る偏微分方程式について考える。ただし は正の楕円型作用素とする。問題は必ずしも良設定である必要はなく(解が有限時間で発散する、あるいは存在すらしない場合も考える)、様々な他の偏微分方程式の解の特異点の reflection について研究する際に生じる問題であるとする 。
この類の方程式は、標準的な双曲型方程式と密接に関係している。それは、次の様ないわゆる「後退熱方程式」を考えることによって分かる:
これは次の後退双曲型方程式と本質的には同じである:
例
- 熱方程式
- 平均曲率流
- リッチ・フロー
関連項目
- 双曲型偏微分方程式
- 楕円型偏微分方程式
脚注
参考文献
- Evans, Lawrence C. (2010) [1998], Partial differential equations, Graduate Studies in Mathematics, 19 (2nd ed.), Providence, R.I.: American Mathematical Society, ISBN 978-0-8218-4974-3, MR2597943, http://www.ams.org/bull/2000-37-03/.../S0273-0979-00-00868-5.pdf
関連文献
- 八木厚志:「放物型発展方程式とその応用(上):可解性の理論」、岩波書店(岩波数学叢書)、ISBN 978-4-00-007595-4 (2011年3月25日).
- 八木厚志:「放物型発展方程式とその応用(下):解の挙動と自己組織化」、岩波書店(岩波数学叢書)、ISBN ISBN 978-4-00-007596-1 (2011年3月25日).




